In the quest to achieve a net-neutral climate impact, many companies seek to buy additional power from clean energy sources in an attempt to eliminate the emissions otherwise generated by operating on today’s fossil fuel-heavy grid.
Yet some of the most common strategies for purchasing clean energy have little impact in cutting long-term carbon emissions in the United States, a Princeton-led study has found. However, one approach, in which companies purchase clean energy hourly to match their real-time energy consumption, can have a substantial effect.
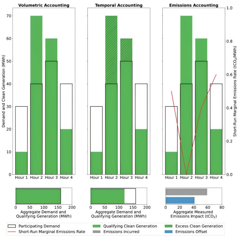
The approach, known as temporal matching, hourly matching, or 24/7 carbon-free electricity procurement, was the only strategy that consistently lowered system-wide emissions among those studied by the Princeton team. Their analysis, “System-level impacts of voluntary carbon-free electricity procurement strategies,” was published in Joule.
On the other hand, the team found that today’s most common procurement strategy—known as volumetric or annual matching—proved to be almost entirely ineffective in reducing long-term emissions in the U.S.
In a volumetric matching approach, companies can claim full decarbonization by simply calculating their total annual energy consumption and procuring enough clean energy to match that yearly consumption, regardless of when it is actually produced.
“Companies are increasingly facing stricter reporting requirements to back up their emissions claims,” said Jesse Jenkins, assistant professor of mechanical and aerospace engineering and the Andlinger Center for Energy and the Environment.
Jenkins noted a California law, passed in 2023, that will require all companies earning over a billion dollars in revenues to report their full emissions footprints, including emissions from purchased power, beginning in 2026. New federal tax credits also require producers of clean hydrogen and sustainable aviation fuels to credibly demonstrate their emissions footprints.
“There are beginning to be actual legal and financial ramifications for greenhouse gas accounting,” he said. “It’s not just about making marketing claims anymore.”
Another up-and-coming procurement strategy, known as emission or carbon matching, in which clean energy is procured in an attempt to offset the total carbon emissions that result from a buyer’s electricity consumption, similarly had little to no effect on reducing long-term emissions in the U.S.
“Before we commit to any procurement approach, we need to do the analysis to ensure that it is effective in lowering emissions,” said first author Qingyu Xu, a researcher at Tsinghua University’s Energy Internet Research Institute who completed much of the research while working with Jenkins as a postdoctoral researcher. “In this study, we tested whether or not some of the commonly proposed procurement approaches could back up their emissions claims.”
The product of a changing energy landscape
Wilson Ricks, study co-author and graduate student in mechanical and aerospace engineering, said the team’s findings reflect recent cost declines in clean energy technologies such as solar and onshore wind energy.
Thanks to continued policy incentives and the support of early voluntary buyers, Ricks said, solar and wind energy projects are now among the most economical options for new energy builds—competitive with and often out-competing fossil fuel-based energy sources.
While a win for the status of renewable energy technologies, a side effect of cheap renewables means that new corporate or institutional agreements to purchase power from solar and wind projects have an increasingly limited impact in driving long-term, system-wide emissions reductions.
These voluntary agreements were effective when new solar and wind projects were more expensive than fossil fuel-based energy projects because a company’s support allowed a clean energy project to be built where fossil fuels would have been the default option. However, as clean energy projects increasingly become the default energy option, it is difficult to prove that a company’s support has had any transformational impact.
“The general assumption behind the traditional clean energy procurement approaches is that when you procure a given amount of clean power, you’re effectively offsetting a similar amount of fossil power,” Ricks said.
“But as clean power continues to be cheaper and more market-competitive, that assumption becomes less and less true. Instead, you have solar projects not competing with fossil fuel-based power, but against other solar projects that could have been built in their place.”
More information:
Qingyu Xu et al, System-level impacts of voluntary carbon-free electricity procurement strategies, Joule (2024). DOI: 10.1016/j.joule.2023.12.007
Joule
Princeton University
Read the full article here







